General Demographics
Age, Years M(SD): 32.7(6.06)
VR Experience A, 1-7 M(SD): 4.67(1.30)
VR Experience B, 1-7 M(SD): 4.50(1.31)
Music Experience, Years M(SD): 17.3(7.20)
Computer Music Experience, Years M(SD): 11.1(7.86)
Genders: M=11, F=1
Musical Sophistication Index (MSI) Scores
The msi was used to grade participants by Perceptual Abilities (MS01) and Musical Training (MS02) factors.
Perceptual Abilities Questions
All items use following ordinal scales:
-
Completely Disagree
-
Strongly Disagree
-
Disagree
-
Neither Agree nor Disagree
-
Agree
-
Strongly Agree
-
Completely Agree
-
Not answered
I am able to judge whether someone is a good singer or not.
I usually know when I’m hearing a song for the first time.
I find it difficult to spot mistakes in a performance of a song even if I know the tune.
I can compare and discuss differences between two performances or versions of the same piece of music.
I have trouble recognizing a familiar song when played in a different way or by a different performer.
I have never been complimented for my talents as a musical performer.
I can tell when people sing or play out of time with the beat.
I can tell when people sing or play out of tune.
When I sing, I have no idea whether I’m in tune or not.
When I hear a music I can usually identify its genre.
I would not consider myself a musician.
Musical Training Questions
All items were open responses that were recoded to produce factor scores.
I engaged in regular, daily practice of a musical instrument (including voice) for ... years.
At the peak of my interest, I practised ... hours per day on my primary instrument.
I have had formal training in music theory for ... years.
I have had ... years of formal training on a musical instrument (including voice) during my lifetime.
I can play ... musical instruments.
The instrument I play best (including voice) is ...
Scoring
Procedures described in https://www.gold.ac.uk/music-mind-brain/gold-msi/download/.
Results
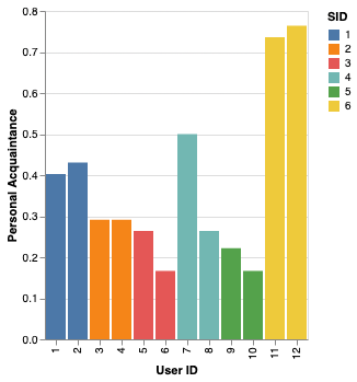
Personal Acquaintance Measure Scores
Instruction to Participant
Please think of the person you have worked with today in the music tasks (whom we’ll refer to as “the other musician”), read each statement carefully, and mark the answer that best corresponds to your agreement or disagreement with each statement.
Questions
All items use following ordinal scale:
-
definitely false or strongly disagree
-
mostly false or disagree
-
about equally true or false, cannot decide, or neutral
-
mostly true or agree
-
definitely true or strongly agree
-
Not answered
I have known the other musician for many years.
The other musician and I are physically affectionate.
I have known the other musician for a long time.
I have gone to parties with the other musician.
The other musician often hides his/her true feelings from me.
Seeing the other musician is part of my weekly routine.
I know what the other musician ’s goals are.
The other musician hides his/her true feelings from me.
The other musician has told me about his/her interests.
I have spent time with the other musician and his/her friends.
The other musician and I have been physically intimate.
The other musician avoids showing his/her true feelings around me.
The other musician and I go way back.
I am familiar with the other musician ’s friends.
I see the other musician a lot.
The other musician and I often hold hands when we walk together.
Seeing the other musician is part of my daily routine.
The other musician has told me what his/her goals are.
Scoring
Based on instruction in , for positively keyed items (those other than Items 5, 8, and 12), recode strongly disagree to 0, disagree to 1, neutral to 2, agree to 3, and strongly agree to 4. For the negatively keyed items (Items 5, 8, and 12), recode strongly disagree to 4,disagree to 3, neutral to 2, agree to 1, and strongly agree to 0. To create the total score, sum the recoded scores associated with all the items. To create the subscales, sum recoded Items 1, 3, and 13 to create Duration; Items 6, 15, and 17 to create Frequency of Interaction; Items 7, 9, and 18 to create Knowledge of Goals; Items 2, 11, and 16 to create Physical Intimacy; Items 5, 8, and 12 to create Self-Disclosure; and Items 4, 10, and 14 to create Social Network Familiarity.
Results